一、学院介绍
录取概况:
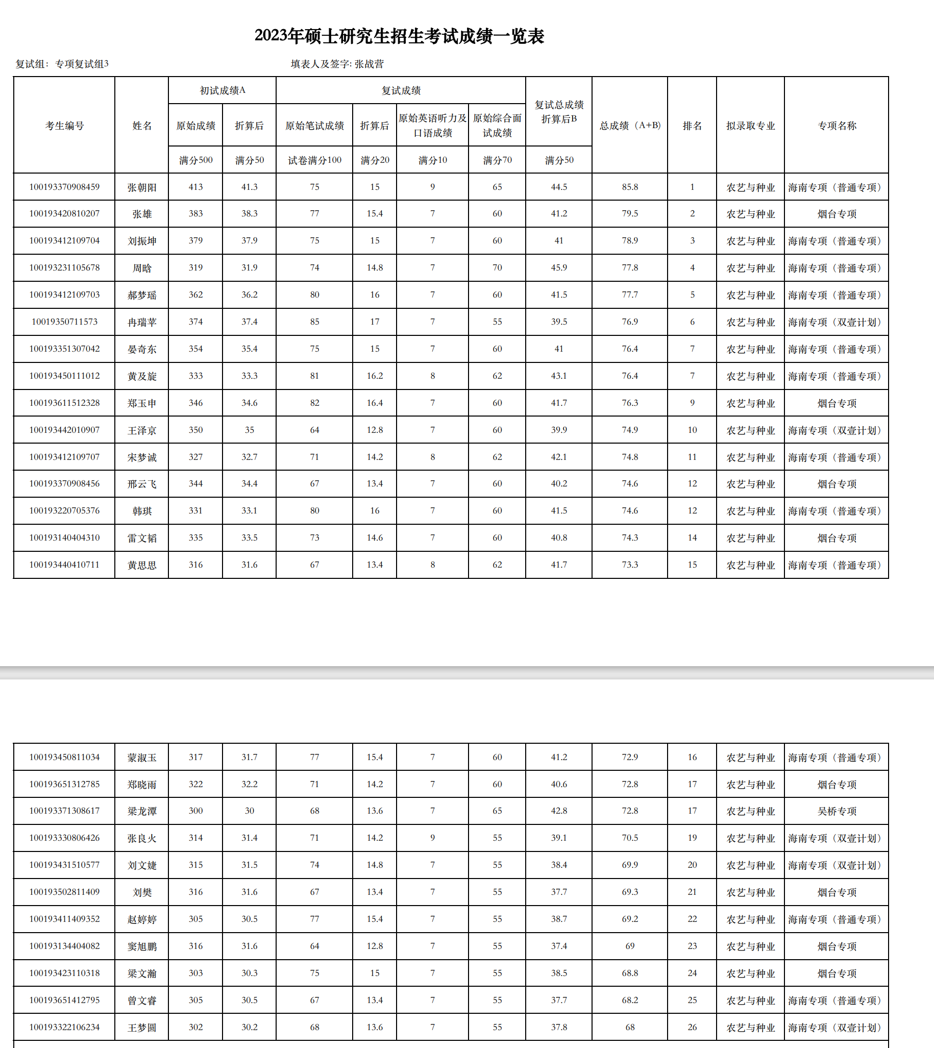
2023复试名单
2023录取名单




315化学(农)
1、教材
无机化学:《普通化学》第三版,赵士铎主编,中国农业大学出版社
分析化学:《定量分析简明教程》第二版,赵士铎,中国农业大学出版社(不用买配套习题)
有机化学:《有机化学》第五版,汪小兰,高等教育出版社(不用买配套习题)/《有机化学》,第三版,杨红,中国农业出版社(不用买配套习题)
三、专业课复习指导经验
315化学(农)
2. 具体操作
(1)构建知识体系:
构建知识体系就是要对目标内容有一个宏观的了解。构建体系的的方法因人而异,可以看网课,也可以直接啃教材,但是一定要做好笔记。方便后期的时候根据真题完善自己的知识体系也方便复习,不然可能就需要重新做一遍笔记,会耽误一些时间。
由于我化学的基础不好,所以想从头学习,我最开始普通化学看过吉大宋天佑的网课、分析化学看过B站的分析化学武大版、有机化学看过清华大学的李艳梅老师的网课。
(2)利用指南和习题消化吸收知识:
前期在学习知识的过程中,一定是枯燥而且迷茫的,不知道自己会不会,不知道应该会哪些。
所以一定的习题一定是必要的,无机化学利用好指南,认认真真的做指南上的例题和习题,不会的题一定要对照教材找到对应的公式和知识点,不会的计算题一定要多算几遍,这是打基础的时候,千万不要轻易受到其他同学进度的影响,因为每个人的基础不同、每个人想要达到的标准也不同。所以可能在不同的阶段对知识掌握预期也不同,这可能导致在水平相当的时候有的人很乐观有的人却很emo。
有机化学由于指南的题是按照题型分类的,前期没按照章节学习一遍的话会感觉很混乱,所以有机化学前期消化吸收的时候可以找一些贴近考纲按照章节分类的习题消化自己的知识,市面上流传的农学考研网课比如某试点中的一些讲义中的题也很适合这个阶段。而且一般这种题都有老师的讲解(虽然讲解的一般,但是也可以简单的了解一下做题思路)。
我觉得,做题就是对自己看网课或者啃教材啃指南吸收的知识的一种检测方式,有利于检验自己的学习水平,做题不在于多,要在于质量,要把每一道题都研究明白,不要为了速度囫囵吞枣,遇到不会的题会翻书,整理,这又一次加深了学习的印象,在前期打基础的阶段能做到这些,对以后的学习帮助很大。
这种前期的任务只要在六月份之前完成我觉得就来得及。
(3)中期做模拟题找感觉,补漏洞,整理错题。
到了暑假左右,这时候基本知识体系构建完成了,习题也都按照章节做一遍了,但是还是稀里糊涂的,很正常。
这个时期我建议开始做《历年真题和全真模拟》中的模拟部分,模拟部分的难度是大于真题难度的,而且规律性重复性也没那么强,但是作为感受真题、串联知识,查缺补漏、增加做题熟练度的工具再好不过了。
第一遍做错的多很正常,但是一定要摆正心态,不要把分数看的太重,重要的是做好错题整理,把错的题在书上找到对应的知识点,不熟练的计算题一定要下笔,不要觉得会算就直接过去。
做题时候也要根据自己前期构建的知识体系进行复习和补充,逐渐的加深对知识的理解。
最后做到见到题要知道这是考的哪里的知识,考的什么,不是单纯做对了就完事的。
还可以找一些各种农学考研大佬录的模拟题的讲解视频课,在这个阶段对构建做题思路有很大的帮助。
(4)中后期 做真题 整理真题错题、从多个角度刷真题 完善知识体系
中后期也就是9月份到11月中旬这个时间 ,真题毫无疑问是最重要的,在这个阶段一定要吃透真题。
首先,按照年份一年一年的做一遍,(要留3套题最后模拟,模拟的用处很大),做完一年的题以后一定要对着解析和教材把每一道题背后的知识点都找到,计算题也一定要认真做,错题和做的时候拿不准的题一定要记录下来,自己独有的错题本是咱们考研人最最最重要的财富!(我的财富被大妈全给扔了,现在还很心疼......)
相信大家都知道,315的化学真题是要做很多遍的,这个毋庸置疑,但是如果一直重复的按照年份做题的话,对知识点掌握的有些零散,
所以我建议在按年份刷完第一次以后,穿插一次按照章节知识点分类的真题练习,这个特别重要。
大家可以下载一个APP叫做考研汇,(APP的官方要是想给我的话可以给我点广告费)
这个APP里存在一个栏目对历年的农学联考真题按照章节分类,并且解析都是来自于参考教材。
但是建议大家不要在APP上直接做题,而是要在纸上,最次也要在pad上。
这样可以针对性的找到自己的薄弱环节,对教材、对考点、对指南的理解都会更加深刻。
在按年份刷题和按章节刷题之间过个两遍,及时复习自己整理的年份错题本和章节错题本,脑子会对整个315化学有一个特别清晰的理解。
我的知识体系也是在这个时期进行完善的,这个时期大家的脑中都知道什么是重点了,不管是对自己的笔记,还是思维导图、自己专门的错题本、独有的知识点整理,都可以很好的完善和补充,为后期的复习做准备。
(5) 后期 全真模拟 复习知识点
一定要进行几次全真模拟,印好答题卡,严格按照考试的时间对自己进行检测,找到考试的感觉,同时规范自己的答题步骤。
到了这个阶段,最重要的就是保持状态,复习好自己的错题,记忆好自己整理的背的不熟的知识点。
这个时候压力会很大,政治和英语还有415的内容铺天盖地,但是我们一定要坚定自己的信心、合理的分配时间。因为大多数人到这个时期都会很焦虑,觉得自己什么也不会,这都是正常的。只要坚持下去,这一年的努力都会有回报。
理由1浓厚的学习氛围:在集训营,很多同学一起学习,遇到问题也可以和其他同学交流和讨论,容易保持学习动力。
理由2及时的学习反馈:及时发现自己的学习问题和错误,及时获得反馈。
理由3严格的学习纪律:遵守一定的纪律性,保持学习的连贯性和稳定性,避免出现出现学习时间、精力的浪费和不足。
理由4快速发现自身问题:快速发现自身的不足和问题,寻求合适的解决方法和策略。
理由5不易被外界干扰:不易受到来自外界的各种干扰,例如社交媒体、电子游戏、电视剧等等。
理由6直接与老师互动:老师可直接了解学生的理解程度,与老师面对面沟通。
|
新祥旭考研2025年考研集训营全年课程安排 |
||||||
|
班次 |
上课时间 |
辅导内容 |
周期 |
不含专业课 |
包含专业课 |
备注 |
|
春季体验营 |
1月1日至6月30日 |
考研公共课基础专题 |
半年 |
免费 |
免费(不含专业课) |
可免费试学一周 |
|
暑假集训营 |
7月14日至8月25日 |
考研公共课考点强化 |
6周 |
政英15000元 政英数20000元 |
政英专(60课时)31000元起 政英数专(40课时)31000元起 |
无协议 |
|
秋季集训营 |
10月1日至11月10日 |
考研公共课考点拔高 |
6周 |
政英15000元 政英数20000元 |
政英专(60课时)31000元起 政英数专(40课时)31000元起 |
无协议 |
|
冲刺集训营 |
12月1日至12月15日 |
模拟考试和考点预测 |
2周 |
政英5000元 政英数8000元 |
政英专(30课时)13000元起 政英数专(20课时)12500元起 |
无协议 |
|
百日集训营 |
10月1日至考研结束 |
考研公共课重点强化 |
100天 |
政英18000元 政英数25000元 |
政英专(60课时)34000元起 政英数专(40课时)36000元起 |
无协议 |
|
探花私塾营 |
7月前报名至考研录取 |
全程封闭式督学集训 公共课全程小班辅导 专业课在线一对一辅导 |
全年 |
政英28000元 政英数38000元 |
政英专(60课时)43000元起 政英数专(40课时)48000元起 |
每专业限报3人 |
|
榜眼私塾营 |
7月前报名至考研录取 |
全程封闭式督学集训 公共课全程小班辅导 专业课在线一对一辅导 公共课一对一40课时 |
全年 |
政英38000元 政英数48000元 |
政英专(90课时)61000元起 政英数专(60课时)63000元起 |
每专业限报2人 未录取重修一年 (不含专业课) |
|
状元私塾营 |
7月前报名至考研录取 |
全程封闭式督学集训 公共课全程小班辅导 专业课在线一对一辅导 公共课一对一80课时 教务总监全程专属督导 全程VIP服务保障 |
全年 |
不单报公共课 |
政英专(120课时)10万元起 政英数专(80课时)11万元起 |
每专业限报1人 未录取重修一年 (不含专业课) 两年未录取退费20% |
|
复试集训营 |
初试后至复试前 |
听力口语和复试礼仪 |
不限 |
5000元 |
见复试辅导课程安排 |
机构学员免费参加 |
|
自习集训营 |
报名后至考研录取 |
自主复习、状态管理 |
不限 |
每月1000元 每季度2700元 半年4800 全年7000元 |
单报考研专业课9折优惠 |
无协议 |
|
集训说明 |
新祥旭考研集训营全国统一集训地点为北京集训基地,全力提供师资保障和服务保障! 新祥旭考研集训营根据各学员基础差异情况,实行一战二战考研分类教学。 新祥旭考研集训营按照专业分班、学校分组。各专业全年共招生50人,超过50人绝不再招,学员须提早报名,以免名额受限。 学员报名后即可开始学习,1-6月将开设日常公共课基础专题小班课程,早报名,早上课,不另外收费。 专业课一对一辅导原则上均为网授。 住宿费(独立卫浴)为6人间1000元每月,4人间1500每月,2人间(限量)2000元每月,单间(限量)3000元每月(一次性缴费优惠)。 集训营课程两人联报享受95折优惠,三人联报享受9折优惠,四人联报享受85折优惠,五人及以上联报享受8折优惠(全款)。 集训营课程元旦前报名享受9折优惠,五一前报名享受95折优惠(全款)。(与上述优惠不可叠加) |
|||||
|
收费说明 |
上述包含专业课的相关课程收费为基本收费,按照高校或者专业不同,将视情况上浮收费。 一类高校:北京大学、清华大学、艺术院校以及其他高校稀缺专业,价格上浮20%或另议。 二类高校:北京地区、上海地区985高校,价格上浮15%, 三类高校:北京地区、上海地区211高校以及其他地区985高校,价格上浮10%。 四类高校:北京地区、上海地区普通高校或普通地区211高校,价格上浮5%。 五类高校:其他普通高校,价格维持不变。 |
|||||
七、集训营环境
(八)学习环境
(九)住宿环境
(十)饮食环境
(十一)娱乐运动环境
(十二)往期集训营合影
新祥旭专注考研16年,助力无数学子完成读研梦想。详情咨询15271932938(电话同微信)新祥旭刘老师



















