导读:本文数据来源于中南大学官网,包括报名人数 、录取人数 、推免人数 、综选人数 、相对报录比 、绝对报录比。今年9月,学校会公布21年的报录比,到时候我会同步更新的,希望能帮助大家择校。
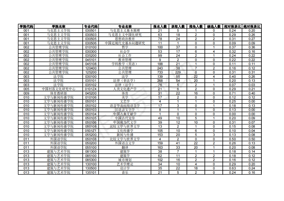
中南大学2020年硕士研究生报录情况统计








中南大学2019年全日制硕士研究生报录情况统计












中南大学2018年硕士研究生招生报录情况统计

需要试听【22考研考博成功经验公开课】的,加我备注“目标院校+专业”,带你听课! 新祥旭考研考博,深耕一对一领域15年,覆盖了全国各985、211高校的所有专业+普通本科的常规专业。助力你的复习,高效全面,快人一步! 名校备考,高效提分,你需要更聪明的复习方式! 考研考博有疑惑,可咨询电话/微信: 13657256749 新祥旭考研考博专业课一对一辅导 北京总部:北京海淀区苏州街长远天地A2座21层 上海分校:上海杨浦区国定路三号湾广场创业大厦2号楼11层1111室 武汉分校:武汉市洪山区创业街66号海达创新广场19楼1902室 



















