2020-2021郑州大学行政管理考研考试科目、复试分数线、参考书目、考试大纲汇总!
一、学院简介
几经分合,郑州大学公共管理学院于2001年4月正式成立。10年来,学院全体师生奋力拼搏,锐意进取,在人才培养、师资队伍建设、学科建设、科学研究、对外交流与合作等方面都取得了长足进步,呈现出良好的发展势头。
学院现有教师93人,其中专任教师78人,教授19人,副教授36人,具有博士学位的占总数的65%;有博士生导师4人,教育部高等学校公共管理学科专业教育指导委员会委员1人,哲学学科教育指导委员会委员1人,社会学学科教育指导委员会委员1人,河南省管专家3人,河南省教学名师1人,20余人在党政机关和学术团体中兼任。
学院对外合作与交流频繁,国际化办学程度不断提高,注重人才培养方式创新,注重科研服务社会,为区域经济社会发展培养了一大批优秀的公共管理人才,做出了应有的贡献,多次被中央电视台、人民网、河南电视台等各大媒体广为报道。
二、郑州大学行政管理考研招生情况
.png)
三、试卷结构及参考书目推荐
817政治学基础
试卷结构(题型):简答题、论述题等
《政治学基础》(第三版),王浦劬等著,北京大学出版社,2014年版.
《政治学原理》(中文版),王惠岩著,高等教育出版社,2006年版.
754管理学
试卷结构(题型):简答题、论述题等
《公共管理学》(第二版),陈振明等著,中国人民大学出版社,2017年版
《管理学》,徐国华、张德、赵平著,清华大学出版社,1998年版。
《行政管理学》,郑志龙主编,高等教育出版社,2011年版。
四、郑州大学行政管理近三年录取情况介绍
1、跨专业(跨一级学科)的考生需要加试,《组织行为学》和《当代中国政治制度》。
2、该专业复试比例约为1:1.2;17年招收42人,18年招收38人;
3、2019年该专业拟招收43人,含5人推免!
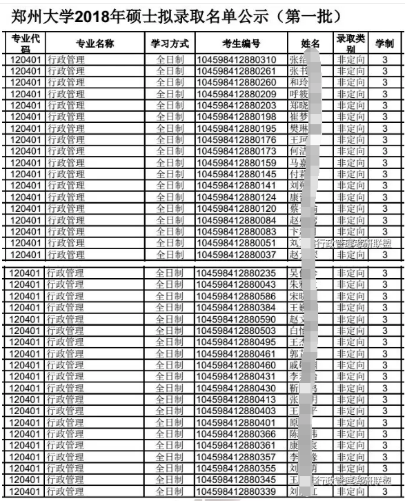
五、2018年郑州大学行政管理考研拟录取名单
详情请关注“行政管理考研联盟”微信公众号查阅!
.png)
六、来自前辈的备考经验
19考研郑大出不出考试大纲还要打个大大的问号呢,其实不管出不出,作用都不是很大。要想稳的考上,就需要全面复习,把书的每个知识点都吃透,大纲来源于课本,当书都学好时大纲再怎么变你都是没有问题的,万变不离其宗。切记不要等大纲出来了再去准备!大纲一般都是9月中旬才发布,那时候距离考试就剩三个多月了,时间会很不够!一句话,不要想着大纲,复习好书是王道。
郑大专业课自主命题,所以真题的重要性不言而喻,郑大师兄建议19届的学弟学妹,可以在二轮三轮的时候(10月份),进行研究真题,掌握历年真题的技巧以及命题思路定会让你考研事半功倍。
.png)


















