根据教育部、复旦大学对硕士研究生招生复试的统一要求,经新闻学院研究生招生工作领导小组会议讨论决定,2019年我院硕士研究生(学硕、专硕、单考)招生复试细则如下:
一、确定复试名单
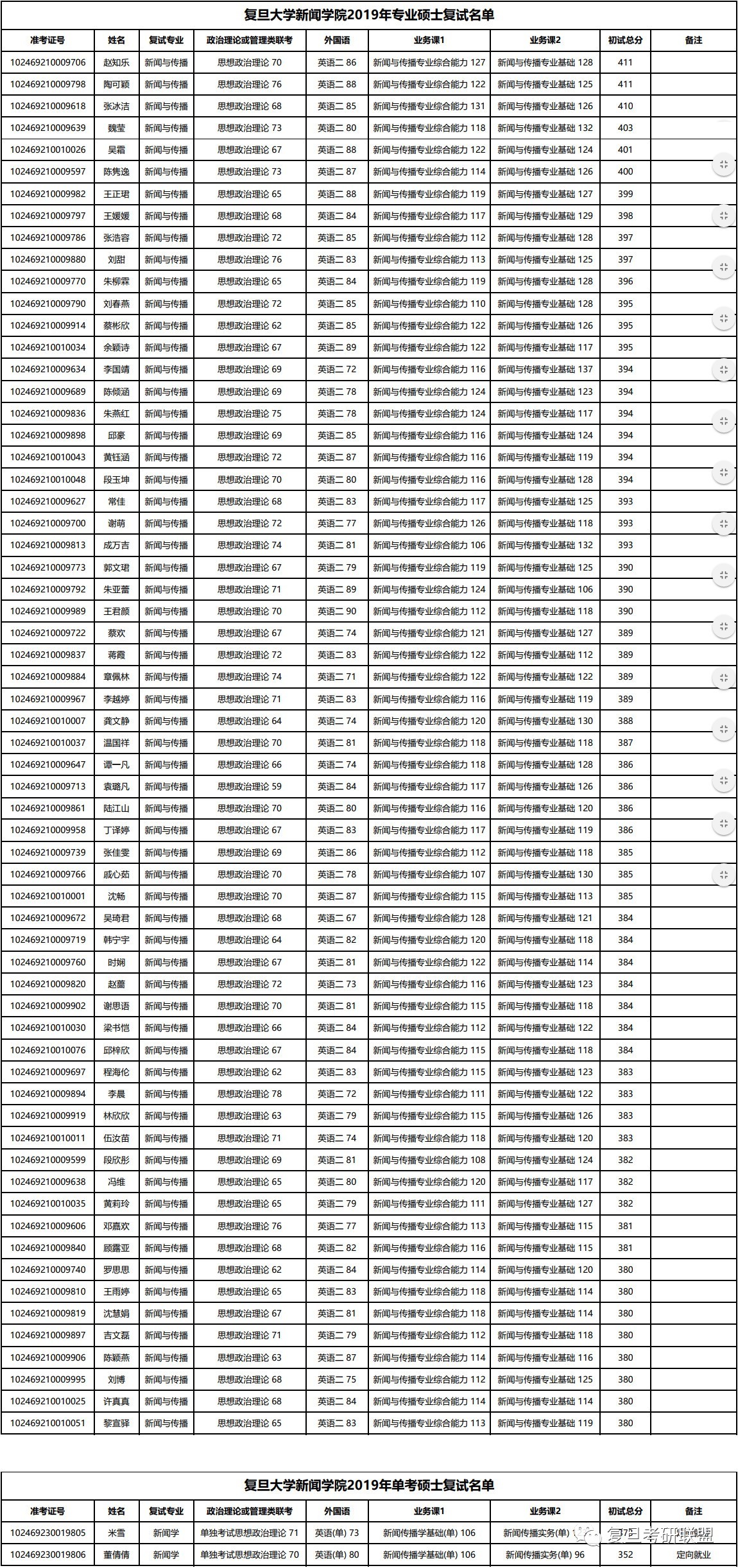
1. 在学校公布的考生进入复试的初试成绩基本要求的基础上,根据本专业的现有招生计划和相应的差额复试比例,按考生的初试成绩择优确定复试名单。
2. 复试名单连同本细则在复旦大学新闻学院官方网站予以公布。
3. 复试采取差额形式,差额比例不低于120%。
二、进行复试
(一)复试时间及地点
复试于3月19日(星期二)下午13:30正式开始,复试地点为复旦大学新闻学院(上海市杨浦区国定路400号,在邯郸路和国定路交叉口)教学楼(三栋相连的红色建筑之一)。
考生务必于12:00前在上述教学楼一楼集合,接受身份及学历验证。
(二)复试考核方法
1. 学硕、专硕、单考的复试均包括专业口试、外语口试两项,专业口试时间约为15分钟,外语口试时间约为5分钟,每位考生的总复试时间约为20分钟。
2. 因人数较多,学硕、专硕、单考的专业口试将分成不同的组别进行,分组安排表将于复试正式开始前张贴在候场教室。
3. 专业口试和外语口试在不同教室同步进行,具体每位考生的专业口试与外语口试安排在不同时段。
4. 复试过程中不得携带任何电子设备进入考场。
三、提出拟录取名单
1. 复试成绩由专业口试成绩和外语口试成绩组成,专业口试成绩占复试成绩的80%,外语口试成绩占复试成绩的20%,复试成绩占入学考试总成绩的40%。公式如下:
总成绩=初试成绩÷5×60%+复试成绩(专业口试成绩×80%+外语口试成绩×20%)×40%
2. 复试不合格者(指未达到该项满分的60%),不予录取。
3. 根据本单位招生计划、复试录取细则、考生总成绩排名、思想政治表现、身心健康状况等择优确定拟录取名单。
4. 定向就业的考生须在录取前与学校、用人单位分别签订定向就业合同。考生因报考硕士研究生与所在单位产生的纠纷由考生自行处理。若因此造成考生不能复试或无法录取,招生单位不承担责任。
四、关于资格审查、身份及学历学位验证
1.复试时须对考生的以下材料进行审查:
(1)考生的准考证和有效身份证件原件。
(2)应届生的学生证原件。
(3)往届生的学历证书原件和教育部学历证书电子注册备案表(或学历认证报告),学位证书原件(报考对学位有要求专业的考生)。
(4)持在境外获得学历/学位的考生,须提交教育部留学服务中心出具的认证报告(境外学校在读本科生,不能以应届生身份报考)。
(5)对于在读研究生,须查验培养单位出具的同意报考证明;考生还须在拟录取前提供注销原学籍证明。
(6)对于在2019年9月1日前可取得国家承认本科毕业证书的自学考试和网络教育本科生,须查验颁发毕业证书的省级高等教育自学考试办公室或网络教育高校出具的相关证明。
(7)对于少数民族骨干计划考生,须查验是否具有《报考2019年少数民族高层次骨干人才计划硕士研究生考生登记表》。没有《登记表》的,不能列入少数民族骨干计划。
(8)对于“退役大学生士兵”专项计划考生,须查验是否具有《入伍批准书》和《退出现役证》。
2.在资格审查时,考生须携带上述材料原件和复印件各一套,复印件由院系留存。经审查,若发现考生不符合报考条件,取消其复试资格,初试成绩无效。
五、监督与申诉
复旦大学新闻学院党委组织实施对复试全过程的监督。
考生申诉渠道:复旦大学新闻学院纪检工作电话021-65642317。
六、未尽事宜参照复旦大学研究生招生工作相关规定执行。
复旦大学新闻学院
2019年3月
.jpg)
.jpg)
.jpg)


















