考试科目
|
专业名称 |
研究方向 |
考试科目 |
|
085229 环境工程(专硕) |
01(全日制)环境工程领域 02(全日制)智能制造 |
①101 思想政治理论②201 英语一③301 数学一④815 化学 或816 环境微生物学 或 817 环境系统与管理 |
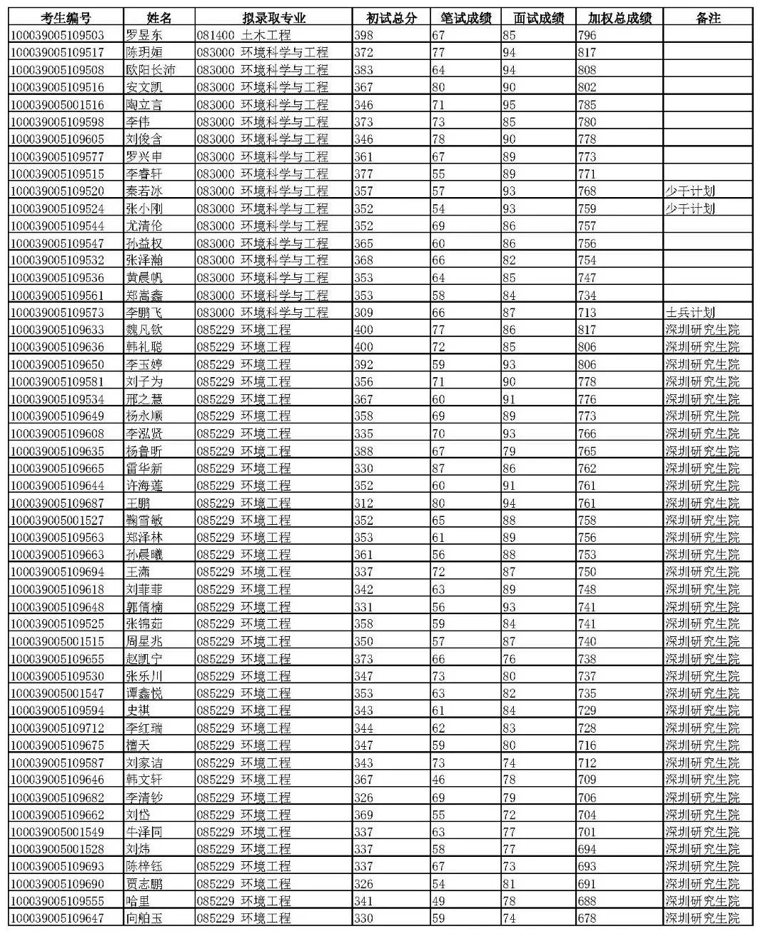
进几年来因为保研人数的增加,使得本专业考研统考名额逐年减少,进三年的具体情况招生人数如下: 年份 推荐免试直硕生 统考名额 复试人数 录取人数 2019 5+24 25 35 2018 6+20 / 27 2017 10+16 12 25
|
085229 环境工程(专硕) |
||
|
年份 |
单科线 |
总分线 |
|
2019 |
50,50,80,80 |
310 |
|
2018 |
50,50,80,80 |
310 |
|
2017 |
50,50,80,80 |
330 |
再次恭喜新祥旭3名学员成功录取 专业课一对一辅导 新祥旭专业课一对一辅导热线:13701149740 专业课一对一课程: 考研辅导专业课一对一课程(40课时、60课时、80课时、全科课程) 随报随学全科辅导 考研资讯、考研信息 辅导方式为面授辅导或者网授辅导 免费发放考研资料 按照学员基础灵活分配课时 直系高分学长学姐一对一辅导 全年免费答疑 考研辅导提供的拓展资料如下: 历年真题:专业课历年考试真题及答案解析; 择校指导:考试科目、历年真题、招生简章、课程设置、培养方案等综合性对比 内部资料:专业课内部重难点讲义和常考知识点笔记梳理; 其他资料:相关出题导师的期刊文章及论文集、案例分析补充材料等等; 专业课考研辅导免费提供的附加服务如下: [1]免费提供考前应试指导; [2]免费提供复试咨询; [3]协助联系导师或者提供导师联系方式; [4]免费提供考研公共课复习指导或资料。 考研高分咨询新祥旭罗老师 电话/微信:13701149740 咨询QQ:3219057729 ![]()



















