今日分享2020华中科技大学化学与化工学院无机化学、分析化学、物理化学、化学生物学考研参考书、历年分数线、备考经验!
一、院校介绍
化学与化工学院拥有化学一级学科博士/硕士授予权(理学)及材料物理与化学(工学)博士点,并在材料化学、生物化学与分子生物学等专业招收博士生。化学学科为湖北省重点学科。
2008年化学学科进入美国基本科学指标库(ESI)排名全球大学和科研机构TOP 1%(目前ESI排名:0.158 %)。
二、招生信息
013化学与化工学院
070301无机化学
01(全日制)生物无机化学
02(全日制)无机固体化学
03(全日制)配位化学
070302分析化学
01(全日制)环境分析化学
02(全日制)现代分析测试技术
03(全日制)生物分析化学
04(全日制)大气、水污染分析及控制技术
070304物理化学
01(全日制)催化化学
02(全日制)电化学
03(全日制)催化材料
04(全日制)理论与计算化学
0703Z1化学生物学
01(全日制)生物无机化学
02(全日制)生物分析化学
03(全日制)生物有机化学
招生人数:
无机化学7人(参考2019录取人数)
分析化学12人(参考2019录取人数)
物理化学10人(参考2019录取人数)
化学生物学1人(参考2019录取人数)
2019化学与化工学院招生计划

考试科目:(化学与化工学院以上专业考试科目相同)
①101 思想政治理论
②201 英语一
③623 物理化学
④873 无机化学及分析化学或874 有机化学 ( 873、874 选一)
三、参考书
623物理化学
傅献彩等编.物理化学(上、下册).第五版.高等教育出版社
873无机化学及分析化学
《无机化学》武汉大学,吉林大学,上、下册,第三版,高等教育出版社
《无机化学》大连理工大学,第四版,高等教育出版社
《分析化学》第四版,高等教育出版社,武汉大学主编
874有机化学
荣国斌主编,《大学有机化学基础》(第二版)上、下册,华东理工大学出版社:上海
四、分数线
2019:350/55/55/100/105
2018:340/55/55/95/95
2017:320/50/55/85/85
2019复试录取细则重点
复试内容、形式
1、英语:
考生做简短自我介绍。
主考针对考生发言、听力或阅读材料提问,进行交谈。
2、笔试:
无机化学专业:基础化学
分析化学专业:仪器分析
有机化学专业:有机化学综合
物理化学专业:化学综合(含实验内容笔试)
高分子化学与物理专业:高分子化学
材料化学专业:工科化学综合(含实验内容笔试)
3、专业面试:
专业综合素质和能力考核
复试成绩计算及拟录取原则:
按照学校规定,复试成绩(百分制)等于复试各部分的成绩(百分制)加权 总分,其中笔试占 40%,英语听说能力测试占 20%,面试和实践能力占 40%。计 算总成绩时,初试成绩(按“初试成绩/初试满分*100”的方式折算为百分制)占 60%,复试成绩占 40%。
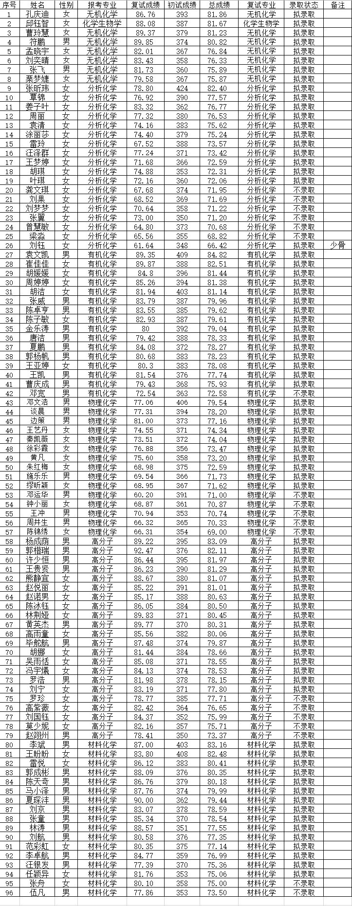
2019化学与化工学院硕士拟录取情况

五、备考经验
物理化学
1、个人复习书籍: 天津大学版物理化学书及配套习题(本科教材),傅献彩(南大版)物理化学书及配套习题。
2、个人复习方法
1)知识点复习:物理化学作为本专业的必考科目,具有一定难度,所以我花了最多的时间去复习。复习以天大版物理化学书为主,南大版物理化学书为辅,进行了知识点总结,笔记整理。
2)习题巩固:每章复习过后,花两天时间写课后习题,用A4白纸将一题题的步骤、答案写清楚,方便修正复习。天大版的课后习题我基本上刷了一遍,题目不错,典型度高,但相比之下更推荐南大版习题册,例题更多,讲解非常详细,题目也很经典且难度呈梯度,便于提高。
3)真题实战:化院的真题很少,每一套都需要仔细钻研。真题我写了三遍,每一次都能发现前一次改错的地方,从心态完全爆炸变成能接受自己的错误。但不建议大家像我这样在真题上耗费太多时间,总结题型和历年常考知识点更有效率,物化的题目偏基础,不要盲目刷题,回归书本很重要,吃透知识点,才能应对各种变形。
无机与分析化学
1、个人复习书籍: 宋天佑(吉大版)无机化学书及配套习题、武汉大学版分析化学(上册)及分析化学实验书(均沿用本科教材)。
2、个人复习思路: 无机与分析化学将两门课的内容合成一张卷子考察,分值各占一半。
1)知识点复习:两科内容很多,特别是分析化学,知识点很细且要考实验知识,不要怕麻烦,还是要将每个知识点认真学一遍。推荐大家看公开课!跟着老师的讲解复习,效率会更快。无机化学有宋天佑教授的公开课、分析化学有武大版上册的公开课( b站资源,1.5倍速食用更佳哟~ )。
2)习题巩固:两本书的配套习题,根据复习进度每章及时巩固,无机化学的问答题不要偷懒,多模仿一下标准答案的重点和步骤,做到条理清晰。分析化学的实验知识可以利用习题来总结记忆,由常见的考察点慢慢复习到更细的知识点。
3)真题实战:了解真题题型,总结归纳考点,有针对性的进行重点复习。个人感觉,无机与分析化学近几年难度不稳定,考点变化较大,所以真题只能起到一定的参考价值 ,在根据真题重点复习的同时,不要漏过任何一个知识点!
想了解更多可关注“理工考研联盟”公众号。
考研高分咨询新祥旭罗老师
电话/微信:13701149740
咨询QQ:3219057729



















