今日分享2020华中科技大学化学与化工学院有机化学、材料化学、高分子化学与物理参考书、历年分数线、备考经验!
一、院校介绍
化学与化工学院拥有化学一级学科博士/硕士授予权(理学)及材料物理与化学(工学)博士点,并在材料化学、生物化学与分子生物学等专业招收博士生。化学学科为湖北省重点学科。
2008年化学学科进入美国基本科学指标库(ESI)排名全球大学和科研机构TOP 1%(目前ESI排名:0.158 %)。
二、招生信息
013化学与化工学院
070303有机化学
01(全日制)有机合成
02(全日制)元素及金属有机化学
03(全日制)生物有机化学
考试科目:
①101 思想政治理论
②201 英语一
③623 物理化学
④874 有机化学
070305高分子化学与物理
01(全日制)高性能高分子
02(全日制)功能高分子
03(全日制)生物医用高分子
04(全日制)超分子化学与材料
考试科目:
①101 思想政治理论
②201 英语一
③623 物理化学
④874 有机化学或907 高分子化学 ( 874、907 选一)
0703Z2材料化学
01(全日制)腐蚀科学与防护技术
02(全日制)材料电化学
03(全日制)光电材料与器件
04(全日制)能源转化与存储材料
05(全日制)纳米功能材料及传感器
0703Z3工程化学
01(全日制)分离科学与技术
02(全日制)精细化学品化学
03(全日制)高分子化学与工程
考试科目:
①101 思想政治理论
②201 英语一
③302 数学二
④875 化工原理或876 物理化学(二) ( 875、876 选一)
招生人数:
有机化学15人(参考2019录取人数)
高分子化学与物理17人(参考2019录取人数)
材料化学15人(参考2019录取人数),工程化学无录取
2019化学与化工学院招生计划

三、参考书
623物理化学
傅献彩等编.物理化学(上、下册).第五版.高等教育出版社
874有机化学
荣国斌主编,《大学有机化学基础》(第二版)上、下册,华东理工大学出版社:上海
875化工原理
化工原理(上、下册),第二版,陈敏恒编,化学工业出版社
876物理化学(二)
物理化学(上、下册),第四版,天津大学物理化学教研室编,高等教育出版社。
四、分数线
2019:350/55/55/100/105
2018:340/55/55/95/95
2017:320/50/55/85/85
2019复试录取细则重点
复试内容、形式
1、英语:
考生做简短自我介绍。
主考针对考生发言、听力或阅读材料提问,进行交谈。
2、笔试:
无机化学专业:基础化学
分析化学专业:仪器分析
有机化学专业:有机化学综合
物理化学专业:化学综合(含实验内容笔试)
高分子化学与物理专业:高分子化学
材料化学专业:工科化学综合(含实验内容笔试)
3、专业面试:
专业综合素质和能力考核
复试成绩计算及拟录取原则:
按照学校规定,复试成绩(百分制)等于复试各部分的成绩(百分制)加权 总分,其中笔试占 40%,英语听说能力测试占 20%,面试和实践能力占 40%。计 算总成绩时,初试成绩(按“初试成绩/初试满分*100”的方式折算为百分制)占 60%,复试成绩占 40%。
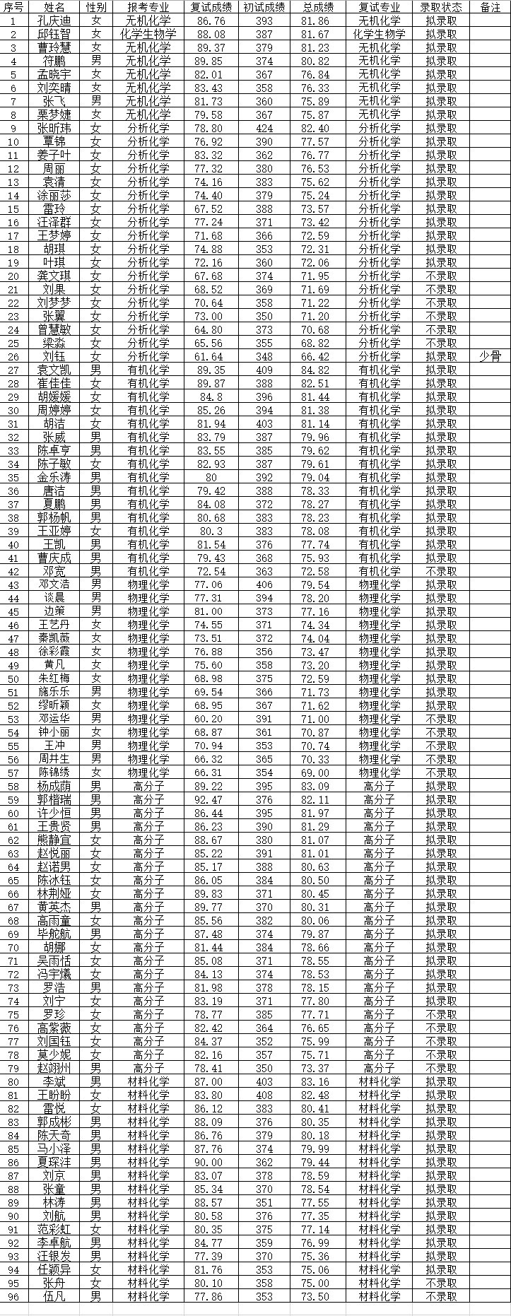
2019化学与化工学院硕士拟录取情况

五、备考经验
物理化学
1、个人复习书籍:天津大学版物理化学书及配套习题(本科教材),傅献彩(南大版)物理化学书及配套习题。
2、个人复习方法
1)知识点复习:物理化学作为本专业的必考科目,具有一定难度,所以我花了最多的时间去复习。复习以天大版物理化学书为主,南大版物理化学书为辅,进行了知识点总结,笔记整理。
2)习题巩固:每章复习过后,花两天时间写课后习题,用A4白纸将一题题的步骤、答案写清楚,方便修正复习。天大版的课后习题我基本上刷了一遍,题目不错,典型度高,但相比之下更推荐南大版习题册,例题更多,讲解非常详细,题目也很经典且难度呈梯度,便于提高。
3)真题实战:化院的真题很少,每一套都需要仔细钻研。真题我写了三遍,每一次都能发现前一次改错的地方,从心态完全爆炸变成能接受自己的错误。但不建议大家像我这样在真题上耗费太多时间,总结题型和历年常考知识点更有效率,物化的题目偏基础,不要盲目刷题,回归书本很重要,吃透知识点,才能应对各种变形。
想了解更多可关注“理工考研联盟”公众号。
考研高分咨询新祥旭罗老师
电话/微信:13701149740
咨询QQ:3219057729



















